Однак максимуми екскреції гонадотропінів у цих хворих не були схожі на підйоми в момент початкового і овуляційного піків овуляторного циклу. Середньодобове виділення гонадотропінів у цій групі становило 22,1 ±1,4 МО, що перевищувало середню величину екскреції гонадотропінів за нормальний цикл (19,6 ±1,5 ME в добу) (рис. 4).

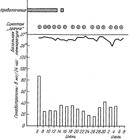
Рис. 4. Виділення сумарних гонадотропінів з сечею, динаміка симптомів «зіниці» та базальної температури у хворої Ф., 21 року, яка страждає дисфункціональним матковою кровотечею.
На рис. 4 видно, що рівень гонадотропінів залишався більш-менш постійним, за винятком першого дня дослідження, коли був виявлений дуже високий підйом в показниках їх екскреції (до 88 ME в добу). Цей показник майже в 2 рази перевищував спостерігалися нами максимальні величини піків гонадотропінів, характерних для нормального овуляторного менструального циклу. Таке одноразове підвищення рівня гонадотропінів навряд чи можна розцінювати як нормальний пік, тим більше що після підвищення продукції гормонів протягом 28 днів дослідження екскреція гонадотропінів знаходилася приблизно на однаковому рівні.
Таким чином, у хворих, що знаходяться в періоді статевого дозрівання і мають високий тип екскреції гонадотропінів, виявлено порушення циклічної продукції гонадотропінів при наявності відносно високою їх базальної продукції. При порівнянні середніх величин екскреції гонадотропінів у цих хворих і у жінок клімактеричного віку, що мають високий тип екскреції зазначених гормонів (61,1 ±2,8 ME в добу), дані виявилися нижчими (Р<0,001).
Наші дослідження показали, що для екскреції гонадотропінів при ювенільних кровотечах характерно відсутність циклічних змін та наявність низького і високого постійних типів базальної продукції гонадотропінів.
Високий постійний тип базальної продукції гонадотропінів властивий більш старшої вікової .группе хворих, що свідчить про прогресивно наростаючою гонадотропної активності гіпофіза.
Питання про продукції гонадотропінів при дисфункціональних маткових кровотечах у репродуктивному і клімактеричному віці також вивчений недостатньо.
Перші фундаментальні дослідження в цій області належать Pedersen-Bjergaard з співавторами (1951) і Riley (1959). В цих роботах показано, що у більшості хворих з дисфункціональними матковими кровотечами виділення гонадотропінів нормальмое і тільки у невеликої кількості їх рівень значно коливався. Однак через недостатньо точної методики, що застосовувалася дослідниками, отримані ними результати не можуть вважатися достовірними.
McArthur з співавторами (1958) у хворих з дисфункціональними матковими кровотечами виявив два типи виділення гонадотропінів - низьке і високе. Для більшості обстежених хворих було характерне значне коливання добових рівнів екскреції гонадотропінів.
Leone і співавтори (1965) у більшості хворих у віці 20-47 років, які страждають дисфункціональними кровотечами, виявили зниження екскреції гонадотропінів або ж їх нормальну продукцію, але з наявністю змін у співвідношеннях ЛГ і ФСГ, що виражаються в дефіциті ФСГ. При надлишковій продукції гонадотропінів спостерігалося підвищення екскреції ЛГ.
Аналогічні дані про виділення гонадотропінів з сечею у жінок у віці 28-47 років, що страждали ановуляторными порушеннями менструального циклу, були отримані Hammerstein (1965).
