За матеріалами Р. С. Степанова (1962а), О. Н. Савченко, Р. С. Степанова (1964), О. Н. Савченко (19676), початковий пік гонадотропінів у жінок з тривалістю менструального циклу у 25 днів виникав за 1-2 дні до початку циклу, а при тривалості менструального циклу 33-35 днів з'являвся тільки на 3 - 5-й день циклу.
Дані літератури про характер і абсолютною величиною добової екскреції гонадотропінів вельми суперечливі. Р. С. Степанов (1961а, 1962а), О. Н. Савченко і Р. С. Степанов (1964) встановили, що рівень виділення гонадотропінів за весь менструальний цикл у жінок репродуктивного віку коливається в дуже широких межах - від величини нижче чутливості методу (7 ME в добу) до 130 ME в добу.
Дуже високі показники сумарної екскреції гонадотропінів (до 150 ME в добу) були отримані Fuchs і співавторами (1964).
В даний час більш правильним вважається вираз величини гонадотропінів в одиницях стандартних препаратів. Найбільш широко застосовуються стандартні препарати HMG-24, HMGJMG-1, 1 мг яких приблизно дорівнює 1-1,5 мишачо-маткової одиниці (ММО) (О. Н. Савченко, 1967а). Однак, незважаючи на якісну однорідність одиниць вираження кількостей гонадотропінів, є велика суперечливість даних різних авторів. При використанні різних модифікацій каолін-ацетонового методу з біологічним титруванням на інфантильних мишах були отримані наступні результати. Brown і співавтори (1958), Loraine (1959, 1960) показали, що протягом фолликулиновой фази менструального циклу екскреція гонадотропінів залишається низькою (менше 10 МО на добу). У 7 з 9 обстежених жінок в середині менструального циклу було виявлено підвищення рівня гонадотропінів до 13-40 ME в добу, у решти 2 жінок такого підйому виділення гонадотропінів не спостерігалося.
В лютеїнову фазу менструального циклу і в дні менструації рівень гонадотропінів у сечі знову знижувався до величини менше 10 МО на добу. Ні в одному випадку не виявлено початковий пік в їх екскреції.
За даними О. Н. Савченко (19676), середньодобова екскреція гонадотропінів між піками і під час їх у різних осіб широко варіює. У фолликулиновой фазі менструального циклу рівень виділяються гонадотропінів з добовою сечею в середньому був 14,4 ME, в лютеїнову фазу - 7,7 ME. Всього за весь менструальний цикл у одних жінок виділилося лише 4,4-7 ME, а в інших - 21-31 ME.
Величина початкового піку коливалася від 11 до 51 ME в добу, овуляційного - від 7 до 44 ME в добу; між піками рівень екскреції гонадотропінів коливався від 0 до 18 ME в добу.
Іноді вміст гонадотропінів протягом всього менструального циклу залишалося високим (11 - 46 ME в добу).
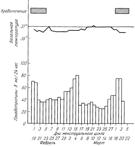
Таким чином, на підставі власних досліджень і даних літератури можна вважати, що у здорових жінок репродуктивного віку виявляються два характерні періоди підвищеної активності гонадотропної функції гіпофіза, що проявилися в початковому і овуляционных піках екскреції гонадотропінів. На рис. 2 наведені дані про характер виділення гонадотропінів з сечею протягом менструального циклу у здорової жінки репродуктивного віку.

Рис. 2. Виділення сумарних гонадотропінів з сечею і крива базальної температури у здорової жінки Л., 29 років.
