О. Н. Савченко (19676), вказує, що приблизно у половини хворих з розладами менструального циклу ці порушення бувають викликані порушенням гіпоталамічної регуляції циклічного виділення гонадотропінів з гіпофіза. При цьому порушуються функції ядер переднього гіпоталамуса, але зберігається функція його базального відділу, стимулюючого тонічну продукцію гонадотропінів. Однак у ряді випадків ці центри, ймовірно, також піддаються певним змінам, які призводять до посилення, або до пригнічення їх діяльності. В залежності від цього можуть спостерігатися або зниження, або, навпаки, різке підвищення базальної продукції гонадотропінів.
Так, у обстежених нами хворих клімактеричного віку другої групи відзначався високий рівень екскреції гонадотропінів. Абсолютні величини вмісту їх у сечі коливалися в широких межах (до 142 ME в добу), тобто перевищували рівень фізіологічних піків при нормальному менструальному циклі. Середньодобова екскреція гонадотропінів у цих хворих (61,1 ±2,8 ME) була вищою, ніж у групі здорових жінок того ж віку (27,5±2,1 ME), і вище, ніж у хворих пубертатного віку з високим типом виділення гонадотропінів і у хворих репродуктивного періоду (Р< 0,001).
Як зазначається в літературі, такий високий рівень виділення гонадотропінів при дисфункціональних маткових кровотечах клімактеричного періоду зустрічається відносно рідко.
У дослідженнях О. Н. Савченко (19676) велика кількість гонадотропінів в добовій сечі (42-124 ME) на добу було лише у однієї із 14 хворих задовго до маткової кровотечі. Такий рівень экскретируемых гонадотропінів набагато перевищував гонадотропний пік при нормальному менструальному циклі
(у спостереженнях автора він склав 51 ME). Рівень гонадотропінів, значно більший, ніж показники, характерні для нормального менструального циклу, може бути при ановуляторних циклах клімактеричного періоду без кровотечі (О. Н. Савченко, Р. С. Степанов, 1962а, б; О. Н. Савченко, Р. С. Степанов, Е. Р. Соколов, 1964а; О. Н. Савченко, 19676). Хоча ці стану клімаксу якісно відрізняються від дисфункціональних маткових кровотеч, проте вони також свідчать про збільшення продукції і виділення гонадотропінів внаслідок підвищення активності ядер базального гіпоталамуса.
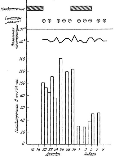
На рис. 8 графічно зображено високий тип екскреції гонадотропінів при дисфункціональному маточному, кровотечі у хворої М., 49 років.

Рис. 8. Виділення сумарних гонадотропінів з сечею, динаміка симптоми «зіниці» та базальної температури у хворої М., 49 років., страждає дисфункціональним матковою кровотечею.
Як видно з рис. 8, визначення вмісту гонадотропінів у сечі проводилося з 20/XII 1966 р. по 10/I 1967 р.; в цей період відбулося два маткових кровотечі. Виділення гонадотропінів між кровотечами на високому і відносно постійному рівні. Після припинення кровотечі кількість гонадотропінів у добовій сечі склало 101 ME. Надалі коливання були в межах до 142 ME. Кровотеча настав при рівні гонадотропінів 124 ME. В період кровотечі виділення гонадотропінів різко знизилася (до 29 ME), а після його припинення знову піднялося (до 51 ME). В екскреції гонадотропінів початкового і овуляційного піків не виявлено. Відсутність овуляції підтверджено даними функціональної діагностики.
Сторінки: 1 2 3 4 5 6 7 8 9 10 11 12 13