Циклічний тип виділення гонадотропінів при ановулярных циклах репродуктивного періоду був описаний Hammerstein (1965). О. Н. Савченко (19676) повідомляє, що при ановуляторних циклах у жінок репродуктивного віку поряд з монотонним характером виділення гонадотропінів іноді відзначається циклічна екскреція цих гормонів, при цьому її максимум спостерігається лише в середині менструального циклу.
Таким чином, на підставі власних досліджень і даних літератури можна вважати, що у більшості хворих з дисфункціональними матковими кровотечами у репродуктивному віці циклічна продукція гонадотропінів відсутня, а тонічна екскреція знаходиться в межах межпиковых величин, характерних для нормального овуляторного циклу. У деяких випадках гонадотропна функція гіпофіза нагадує таку при нормальному менструальному циклі, але гонадотропні піки носять атипический характер. Таке порушення виділення гонадотропінів обумовлює певну естрогенну активність функцій яєчників, але не призводить до овуляції.
Великий інтерес представляють дослідження, присвячені екскреції гонадотропних гормонів у хворих з климактерическими дисфункціональними матковими кровотечами. Перші дослідження в цьому напрямку були проведені Р. С. Степановим (1962а). У більшості обстежених жінок автор виявив показники гонадотропної активності, характерні для нормального менструального циклу поза фізіологічних періодів піків. Н. Ст. Свєчнікова та Н. Ст. Вержиковська (1964) при обстеженні жінок з фізіологічним та патологічним клімаксом, який супроводжувався дисфункціональними матковими кровотечами, не виявили істотних відмінностей у рівні виділення гонадотропінів, проте відзначили тенденцію до його підвищення з віком.
Заслуговують на увагу результати роздільного визначення гонадотропінів у сечі при дисфункціональних маткових кровотечах у клімактеричний період. Д. М, Дильман та М. В. Павлова (1963) встановили, що у таких хворих на тлі зниженого виділення загальних гонадотропінів відзначається підвищене виділення переважно ФСГ. Проте в дослідженнях О. Н. Савченко (19676) було показано, що виділення сумарних гонадотропінів і ФСГ у хворих клімактеричного віку в більшості випадків знаходиться в межах величин, характерних для нормального менструального циклу поза фізіологічних періодів піків. Паралельно зі збільшенням екскреції ФСГ понижалось виділення з сечею ЛГ.
У обстежених нами хворих, що страждали дисфункціональними матковими кровотечами у клімактеричному періоді, виявлено два типи екскреції загальних гонадотропінів. Для першого типу характерно, що середньодобова екскреція гонадотропінів протягом усього періоду дослідження (4-5 тижнів) знаходилася в межах коливань, типових для нормального менструального циклу поза фізіологічних періодів піків. Так, у 5 хворих даної групи середня величина экскретируемых гонадотропінів (28,2+1,2 ME в добу) суттєво не відрізнялася від відповідних величин, властивих нормальному менструальному циклу (27,5±2,1 ME в добу), при цьому максимальна екскреція гонадотропінів не перевищувала нормального рівня гонадотропного піку (70 ME в добу).
Показник виділення гонадотропінів у хворих клімактеричного віку був таким же, як у хворих репродуктивного віку, але вище, ніж у хворих пубертатного віку з низьким типом екскреції гонадотропінів.
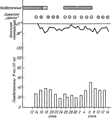
Графічне зображення зниженого типу виділення гонадотропінів у хворої з дисфункціональними матковими кровотечами у клімактеричному віці представлено на рис. 7.

Рис. 7. Виділення сумарних гонадотропінів з сечею, динаміка симптоми «зіниці» та базальної температури у хворої П., 49 років, яка страждає дисфункціональним матковою кровотечею.
