Для вивчення патогенезу дисфункціональних маткових кровотеч дуже важливо зіставити дані про гонадотропної функції гіпофіза з показниками екскреції статевих гормонів яєчників.
З цією метою ми вивчили співвідношення між виділенням загальних гонадотропінів, естрогенів і прегнандіолу з сечею у 12 хворих, які страждають дисфункціональними матковими кровотечами.
У періоді статевого дозрівання у хворих з дисфункціональними матковими кровотечами при монотонному низькому типі виділення гонадотропінів, рівні яких були значно нижче, ніж при нормальному менструальному циклі, ендокринна функція яєчників, судячи з виділення естрогенів з сечею, виявилася різко зниженою.


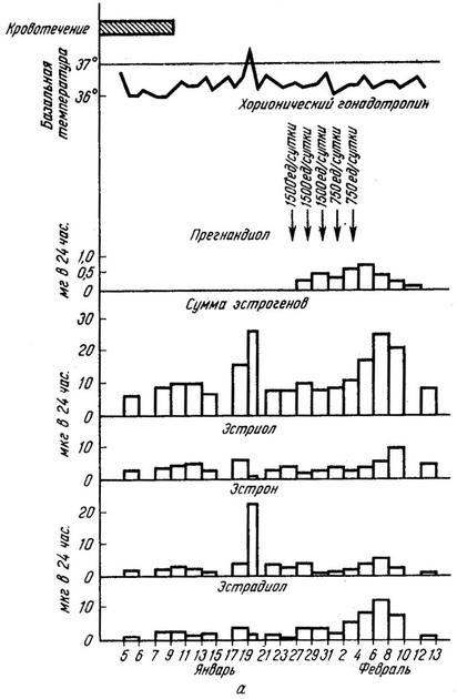
Рис. 18. Екскреція естрогенів, прегнандіолу (а), гонадотропінів (б) і динаміка базальної температури у хворої Ф., 14 років.
Як видно на рис. 18, кількість виділених сумарних естрогенів з добовою сечею у хворих пубертатного віку протягом 21 дня до призначення хоріонічного гонадотропіну коливалася від 6 до 27 мкг і мало постійний характер. При цьому рівень екскреції естрадіолу залишався в межах 1-4,7 мкг (в середньому 2,53 мкг), естрону - 1,1-23 мкг (5,1 мкг), естріолу - 1,5-5,7 мкг (4 мкг). Середньодобове виділення загальних естрогенів склало 11,63 мкг, тобто було нижче середнього рівня їх в проліферативну фазу нормального менструального циклу (15,3±1,60 мкг). За характером виділення естрогенів менструальний цикл можна вважати ановуляторним. Одноразове підвищення рівня естрогенів 19-20/I 1967 р. не можна розцінювати як овуляционный пік, так як він був обумовлений тільки збільшенням екскреції естрону; при нормальному ж менструальному циклі пропорційно збільшуються всі три фракції естрогенів. Крім того, в даному випадку відсутнє поступове підвищення виділення естрогенів, яке відзначається при нормальному овуляторному менструальному циклі. Оскільки рівень естрогенів у спостережуваної нами хворий тривалий час залишався значно нижчим, ніж у фолликулиновую фазу нормального циклу, можна думати про слабку естрогенну активність фолікула. Зіставлення особливостей екскреції естрогенів показало, що така низька гормональна активність яєчників є наслідком слабкої гонадотропної стимуляції з боку гіпофіза. Вміст гонадотропінів до призначення хоріонічного гонадотропіну було дуже низьким. Так, середні показники виділення гонадотропінів склали 6,2 мг на добу, що набагато менше середнього їх рівня при нормальному менструальному циклі у здорових дівчат (19,6 ± 1,5 мг на добу).
Протягом усього періоду дослідження якого-небудь збільшення виділення гонадотропінів, що нагадують піки їх при нормальному менструальному циклі, не виявлено. Настільки низька продукція гонадотропінів не могла стимулювати нормальний ріст і розвиток фолікула, внаслідок чого секреція естрогенів залишалася незначною.
Про неповноцінному розвитку фолікула свідчить також відсутність ефекту від застосування хоріонічного гонадотропіну. Мабуть, у момент введення цього препарату фолікул перебував у незрілому, тобто не здатному до овуляції стані.
Отримані дані про низькому рівні гонадотропінів при ювенільних кровотечах узгоджуються з результатами досліджень Brown і співавторів (1959), Р. М. Лещинюк (1962а, б) і А. Ф. Добротиной (1966, 1967), показали, що ювенільні кровотечі протікають переважно на тлі низького постійного виділення естрогенів. У зв'язку з цим, однак, виникає питання: чому низький, постійний тип виділення статевих гормонів не призводить до растормаживанию гіпофіза, і посиленню секреції гонадотропінів?
