Результати наших досліджень відповідають даним О. Н. Савченко (19676), показала, що у деяких жінок з овуляторными циклами репродуктивного періоду, незважаючи на посилення екскреції гонадотропінів в середині менструального циклу, овуляції не відбувається. Автор пояснює це явище зниженням чутливості яєчників до гонадотропної стимуляції.
На підставі викладеного вище, ми вважаємо, що у хворих з дисфункціональними матковими кровотечами репродуктивного віку при поєднанні моно тонного виділення гонадотропінів і низького типу екскреції естрогенів порушення ендокринної функції яєчників може бути як первинним внаслідок зниження реактивності яєчників, так і вторинним внаслідок порушення гонадотропної функції гіпофіза.
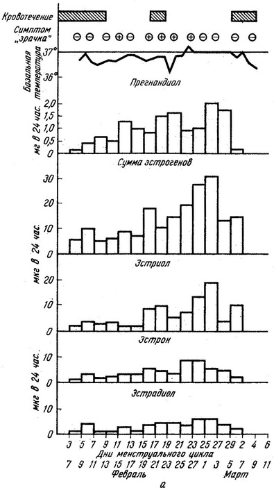
При циклічному виділення гонадотропінів, піки яких істотно відрізняються від піків, властивих нормальному менструальному циклу, нами була встановлена певна циклічність і виділення естрогенів у хворих з дисфункціональними матковими кровотечами репродуктивного періоду. Для ілюстрації наведемо одне спостереження.
Хвора Р., 29 років, поступила в гінекологічну клініку 5/II 1967 р. з матковою кровотечею, що почався 31/I 1967 р. Менструації з 13 років, встановилися відразу, по 4-5 днів, помірні, безболісні. Одружена з 23 років. Вагітностей не було, від вагітності не предохранялась. Захворіла у листопаді 1965 р., коли менструації стали з'являтися через 10 - 12 днів і стали рясними і тривалими.
В результаті загальнозміцнюючий, симптоматичного я гормонального лікування менструальний цикл у хворих нормалізувався; у дружин діни настала вагітність, яка при терміні 7 тижнів закінчилася мимовільним абортом. Через місяць після мимовільного аборту почалася чергова нормальна менструація. У наступні місяці місячні з'являлися із затримками до 40 днів і закінчувалися кровотечами. Останнім кровотеча почалася 5/II 1967 р. Визначення екскреції гонадотропінів, естрогенів і прегнандіолу з сечею проводилося з 7/II 7/III 1967 р.


Рис. 21. Виділення естрогенів, прегнандіолу (з), гонадотропінів (б) з сечею, динаміка симптоми «зіниці» та базальної температури у хворої Р., 29 років.
З рис. 21 видно, що екскреція гонадотропінів мала певну циклічність, але характер піків атиповий. Так, кількість гонадотропінів на 3-й день кровотечі (7/II 1967 р.) склало 110 мг на добу, тобто значно перевищувала величину піків, характерну для нормального менструального циклу (90 мг на добу). У наступні дні відбувалося поступово зниження рівня екскреції гонадотропінів і на 12-й день менструального циклу (16/II 1967 р.) гонадотропінів з сечею виділялося 27 мг на добу. Максимум екскреції гонадотропінів за часом збіглося з початковим піком, що спостерігається в нормальному менструальному циклі, проте він був атипическим.
У наведеному нами спостереженні збільшення кількості виділяються гонадотропінів тривало 7 днів. Така незвично тривала екскреція підвищених кількостей гонадотропінів привела, мабуть, до порушення розвитку фолікула, про що свідчили дуже низький вміст естрогенів в добової сечі (від 5,5 до 10,5 мкг).
На 13-й день менструального циклу (17/II 1967 р.) було виявлено друге підвищення рівня гонадотропінів у сечі - до 81 мг на добу. За абсолютною величиною цей підйом дорівнював гонадотропному піку нормального циклу, але був більш короткочасним. Збільшення вмісту гонадотропінів супроводжувався невеликим збільшенням виділення естрогенів (до 18,2 мкг на добу), яке можна розцінити як овуляционный пік.
